原创作者:程工(旋智主任工程师),杨工(旋智高级硬件工程师)
提要:All-in-One,一颗旋智SPC2168 MCU芯片即可完成空调/热泵室外机的PFC控制、变频压缩机驱动以及室外机风机驱动这3项控制功能。该MCU可同时实施高达80kHz的PFC环路计算控制和双电机FOC矢量控制,最高可达400Hz直流永磁同步压缩机电转速以及200Hz外风机电转速。同时,旋智科技全系列MCU均支持先进的基于模型设计(MBD)和自动C代码生成开发流程,可大幅缩短产品设计周期,提升设计质量。

程工(旋智主任工程师)
杨工(旋智高级硬件工程师)
随着消费需求升级,碳达峰、碳中和节能减排积分政策的快速推进,具备高能效、冷量调节范围宽等优点的大功率变频空调/热泵产品正越来越多的在HVAC市场上出现,其主要应用包括:面向大平层住宅的大功率VRF家用多联机空调产品,商用/家用高能效空气源热泵产品,商用冷链商超冷藏设备,ICT通讯计算机数据机房空调、医疗空调等。
在日常应用中,相当部分的中小功率变频HVAC产品是使用220V单相供电的。但是,相比传统分体式家用冷暖空调,目前新一代的家用多联机,热泵等产品的额定冷量和额定电功率都要明显大得多。例如传统家用空调制冷量一般不超过10kW,压缩机消耗电功率大多在小1匹到3匹之间,即大约额定0.7kW~2.2kW之间。然而,最新一代的多联机空调产品或热泵产品的制冷制热能力可高达30kW以上,压缩机功率可达6-8匹,即4kW以上。
在上述中大功率变频空调系统中,如果采用传统二极管ACDC整流电路,更大功率会带来的更大输入谐波电流,这类谐波电流对市电电网是有害的,将导致更大的线缆损耗、更多的电网污染、并需要更大的配电系统容量裕度。为降低这样的输入电流总谐波(THDi),可选择系统加装输入滤波电抗器,或者增加有源功率因数矫正电路(PFC)。从技术上看,相比高成本的无源电抗器,有源PFC电路因为更小的体积、更高的效率和更好的电网适应性更受用户青睐,因此,部分电网要求较高的出口发达国家市场已经开始强制要求此类HVAC设备加入有源PFC电路以达到能效和THDi的要求(参见IEEE519或类似标准)。类似的,随着我国消费和产业水平升级,近年来,国内市场的产品要求也正与发达出口市场要求快速趋同。
典型高性价比的单相220V有源PFC电路如图1所示,
图1 典型Boost PFC 电路
该Boost类型PFC电路需要数字控制器具备控制IGBT的通断以达到控制输入电流及DC母线电压的能力,一般的控制软件架构如图2所示。
图2 单相PFC电压-电流控制环路
许多IC芯片厂商都推出了专门针对此类电路的专用硬件控制芯片,价格普遍在10RMB以内。相比这些集成控制芯片,由MCU软件实现的PFC控制则要更加灵活,提供更多自由度。例如:可随意调整的DC母线电压(有助于实现变频压缩机PAM调制空调急冷控制功能),可调节的PWM频率,更优化的输入功率因数,更低的电流谐波THDi,更低的系统成本(纯软件的成本基本可忽略),更高的集成度(减少很多外围电路)。
为帮助客户更快熟悉这样的方案,旋智科技推出了基于SPC2168双核处理器的PFC空调/热泵室外机All-in-One集成化解决方案。一颗SPC2168芯片即可完成PFC电路控制、变频压缩机驱动、甚至室外机风机驱动3项控制功能。SPC2168是旋智面向高端白色家电应用推出的高端双核ARM处理器,它的计算核心是2颗200MHz Cortex M4F浮点运算处理器,并具有高达80k Byte的高速RAM,多组三相PWM控制器,灵活的SIO可定制外设通讯单元。在这样强大的芯片能力支持下,本方案可实现高达80kHz的PFC环路计算控制和室外机双电机FOC矢量控制,即实现高达400Hz电转速的直流永磁同步压缩机驱动控制以及200Hz电转速的外风机驱动控制。完美实现了单一MCU芯片,一套软件即控制了变频HVAC室外机的几乎全部电控硬件。
旋智SPC2168热泵应用的220V 3匹变频室外机PCB控制板实物和系统硬件框图分别如图3和图4所示,
图3 旋智科技HVAC室外机All-in-One 参考设计实物
图4 旋智科技HVAC室外机All-in-One 参考设计硬件系统框图
本设计中,高达80kHzPFC频率实现了硬件PFC芯片一般难以达到的快速电流环控制,传统设计中的单相PFC的过零畸变、启动电流冲击,电网闪变适应性等控制难点也被超高的控制频率轻而易举地化解。
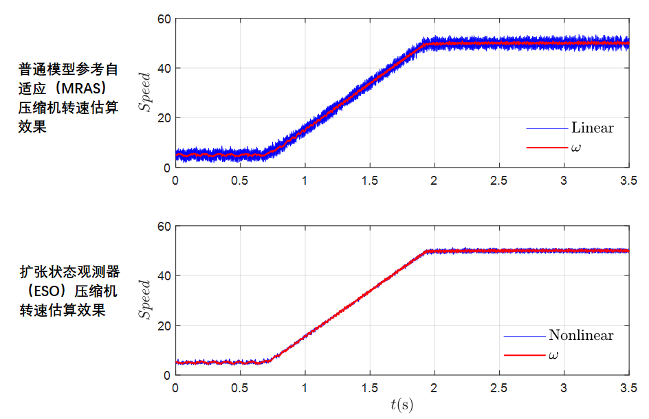
除此以外,旋智科技还首创了基于非线性扩张状态观测器(ESO)的新一代压缩机控制算法,依托领先的数学分析能力和强大的CPU算力,压缩机无感矢量控制(Sensorless FOC)的估算信号噪声大幅度减少,估算带宽显著提高,其与传统模型参考自适应(MRAS)效果如图5所示,由于ESO算法采用全时闭环启动方式,在启动性能更是优于基于开环启动后切换闭环控制的算法,例如更早前业界普遍使用的αβ坐标系下的滑膜观测(SMO)算法。新算法使得单转子压缩机减震控制、压缩机回液(Floodback)保护等高级应用算法得以实施,进一步提升压缩机变频控制的性能和可靠性。
图5 旋智ESO算法的优势
此外,旋智科技还为全系列MCU提供了先进的、完整的MBD设计方案服务和培训服务。MBD设计方式是一种非常领先的电力电子设计方式。通过长期积累的产品开发经验和深厚的数学理论知识,旋智科技建立了多种物理对象的Matlab精确仿真模型,包括HVAC压缩机、风机、泵、PFC等。可以快速根据客户应用及硬件,提供精确细节的产品级仿真模型。例如,在HVAC变频系统设计之初,硬件设计尚未开始前,就可提前评估IGBT选型,DC电容选型,系统性能分析,系统设计余量,甚至热损耗分析等诸多重要设计要素,大大减少了设计风险。在很多应用中,MBD方式可做到第一版完成的硬件软件设计就基本达到可小批量试产的状态,避免硬件反复制板,软件反复迭代的工作浪费,缩短设计周期,降低研发费用。此外,旋智针对不熟悉MBD设计流程的用户,还可提供保姆式的设计培训课程及项目联合开发服务,帮助用户更容易地全面发挥旋智MCU芯片潜力。
旋智科技正致力于推进国内HVAC应用技术发展。用高MCU算力提高HVAC变频控制品质;助力客户开发更舒适、更高效的HVAC产品是旋智不断努力的方向。
2020 官网升级中!现在您访问官网的浏览器设备分辨率宽度低于1200px请使用高分辨率宽度访问。